Ultrasensitive blood-based protein biomarker detection

Detect biomarkers at ultra-low levels with our proprietary wash-based immunoassay in plasma, serum, and cerebrospinal fluid.

Maximizing protein biomarker signals from blood

Protein biomarkers like pTau-217 are often present in blood at extremely low levels – levels that, while clinically significant, remain undetectable by many existing assays.

Our proprietary technology dramatically enhances the sensitivity and specificity of biomarker detection, enabling more accurate and reliable biomarker measurement. Beyond pTau-217, our chemistry easily adapts to a wide range of protein biomarkers.

Protein biomarker detection, reimagined

icn-antibody

A novel dual-conjugated antibody probe

While conventional PLA utilizes oligo-conjugated antibodies, we incorporate an additional binding moiety onto one antibody in the probe pair. This enables selective capture of the formed immunocomplex.

icn-antibody-unbound

Unique one-wash PLA workflow

Unbound probes and interfering substances are washed away, while the immunocomplex is captured and quantified.

icn-simple-workflow

Ultrasensitivity with a simple workflow

Our highly scalable workflow can be fully automated or performed manually, requiring no additional instruments.

How does it work?

See the data from our pTau-217 wash-based proximity ligation assay

Ultrasensitive

Reference curve shows linearity of pTau-217 detection down to fg/mL concentrations.

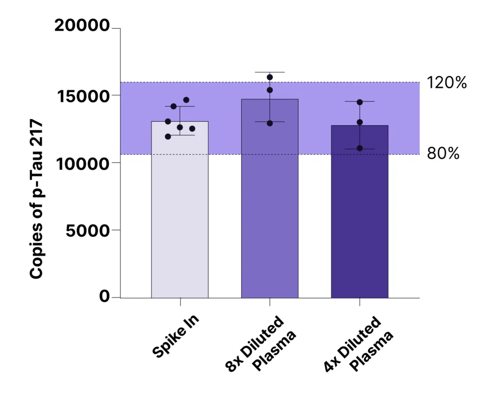
Highly specific

Spike and recovery of pTau-217 falls within a range of 80-120%.

Accurate

Measured pTau-217 clearly distinguishes between positive and negative AD patient samples.

Simplify AD biomarker detection with NeuXplore™, our fully automated sample-to-answer solution

Scalable sample-to-answer Dx system

Proprietary proteomics platform technology

  • Rapid
  • Accurate
  • Cost-effective
  • Scalable

Contact us to discuss early access and partnership opportunities.